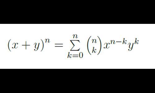
Formule décrivant le développement d'un binôme élevé à une puissance naturelle quelconque.
Découverte
Au IXe siècle en Perse par Al-Khwarizmi, cette formule est associée au mathématicien qui la généralisa aux nombres rationnels au début du XVIIIe siècle.
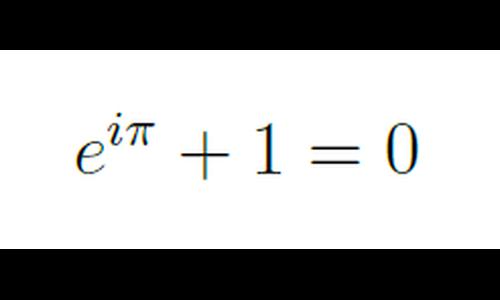
Relation mêlant plusieurs constantes importantes et trois opérations de base des mathématiques, elle est souvent considérée comme étant la plus belle formule mathématique.