Aussi appelée loi des périodes, cette formule met en relation le temps mis par un astre pour effectuer une révolution et le demi-grand-axe de l'ellipse qu'il suit.
Découverte
Proposée en 1618 par un physicien allemand, avant même que la gravitation ne soit connue.
Aussi appelée principe fondamental de la dynamique, cette formule permet de calculer l'accélération d'un objet en fonction de sa masse et des forces appliquées.
Découverte
Publiée en 1687 dans les "Principes mathématiques" par un savant britannique.
Cette formule décrit de manière générale l'attraction entre deux corps possédant une masse. C'est la première interaction élémentaire qui fut découverte.
Découverte
Publiée en 1687 dans les "Principes mathématiques" par un savant britannique.
Formule mettant en relation des variables de pression, de volume, de température et de quantité, elle n'est qu'une approximation car elle ne tient pas compte de certaines interactions moléculaires.
Découverte
Déterminée par le physicien français Clapeyron en 1834, basée sur plusieurs formules antérieures.
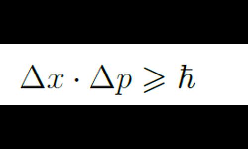
Formule affirmant qu'il est impossible de connaître exactement et simultanément deux propriétés physiques d'une même particule, comme sa position et sa vitesse.
Découverte
Formule établie en 1927 par le physicien allemand Heisenberg.